Semaine du 17 mai 2021 - 3B 3D
1. Corriger les exercices qui étaient à faire pour aujourd'hui
On corrige en vert. On marque juste quand c'est juste sinon on prend la correction.
2. Faire l'activité 3 p 102
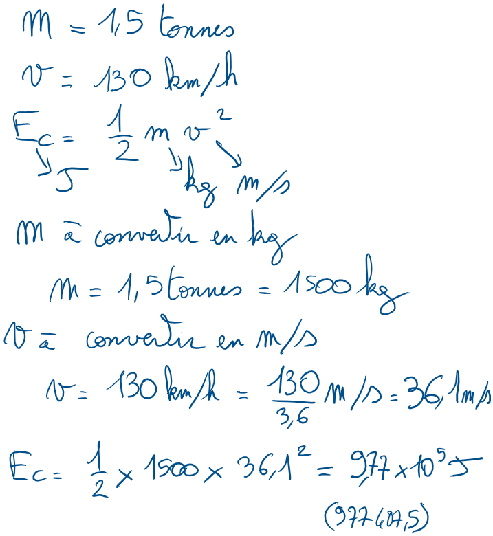
Sans regarder la correction puis se corriger en regardant la correction ci-dessous :
La suite, c'est pour ceux qui préparent le brevet
3. Faire le DNB Blanc p 113
Correction :
.
4. Faire le brevet centre étrangers 2018
https://www.physix.fr/dokuwiki/doku.php?id=brevet:2018_centres_etrangers
Le sujet est aussi dans le PDF p 88 (lien du PDF donné dans Pronote).

